

Bis(Hexamethylene Triamine Penta (Methylene Phosphonic Acid))BHMTPMPA
CAS No. 34690-00-1
別名:二己烯三胺五亞甲基膦酸、 二亞已基三胺五亞甲基磷酸
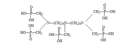
分子式 C17H44O15N3P5 相對分子質量:685 結構式:
性能與用途
BHMTPMPA是高效的螯合型阻垢劑,對碳酸鹽垢和硫酸鹽垢具有良好的阻垢效果。 BHMTPMPA在較寬的PH范圍和120℃高溫下有極佳的水溶性和熱穩定性,對鈣離子容忍度高。BHMTPMPA用作油田水處理的緩蝕阻垢劑,工業循環冷卻水和鍋爐水的阻垢緩蝕劑。
技術指標
項目 | 指標 |
GB/T 22591-2008 | |
外觀 | 深琥珀色液體 |
活性組分/% | 45.0~50.0 |
亞磷酸(以PO33-計)/% | ≤3.5 |
pH(1%水溶液) | ≤2.0 |
密度(20℃) /g·cm-3 | ≥1.20 |
Fe(以Fe2+計)含量/mg·L-1 | ≤35 |
氯化物(以Cl-計)/% | ≤6.0 |
使用方法
單獨使用或與聚羧酸型阻垢分散劑配合使用。
包裝與貯存
BHMTPMPA用塑料桶包裝,每桶25kg或根據用戶需要確定。BHMTPMPA貯于室內陰涼處,貯存期為十二個月。
安全防護
BHMTPMPA為酸性,操作時注意勞動保護,應避免與皮膚、眼睛等接觸,接觸后用大量清水沖洗。